

The institutions established under the Bharati Vidyapeeth umbrella have been accorded deemed university status in 1996 for its academic excellence. The Bharati Vidyapeeth (Deemed to be University) has attained academic excellence and offers programmes in innovative and emerging areas of study. There are currently 29 constituent institutions, including 3 research institutes dedicated solely to research that cater to the needs of urban and rural students. Bharati Vidyapeeth (Deemed to be University) is committed to deliver quality education in diverse areas according to the preferences of students and also to create excellent educational infrastructure and academic facilities in all campuses. We aim to provide affordable education to rural and female students by providing them substantial concessions in fees and subsidised hostel to create knowledgeable professionals and responsible citizens.
Call now for admission
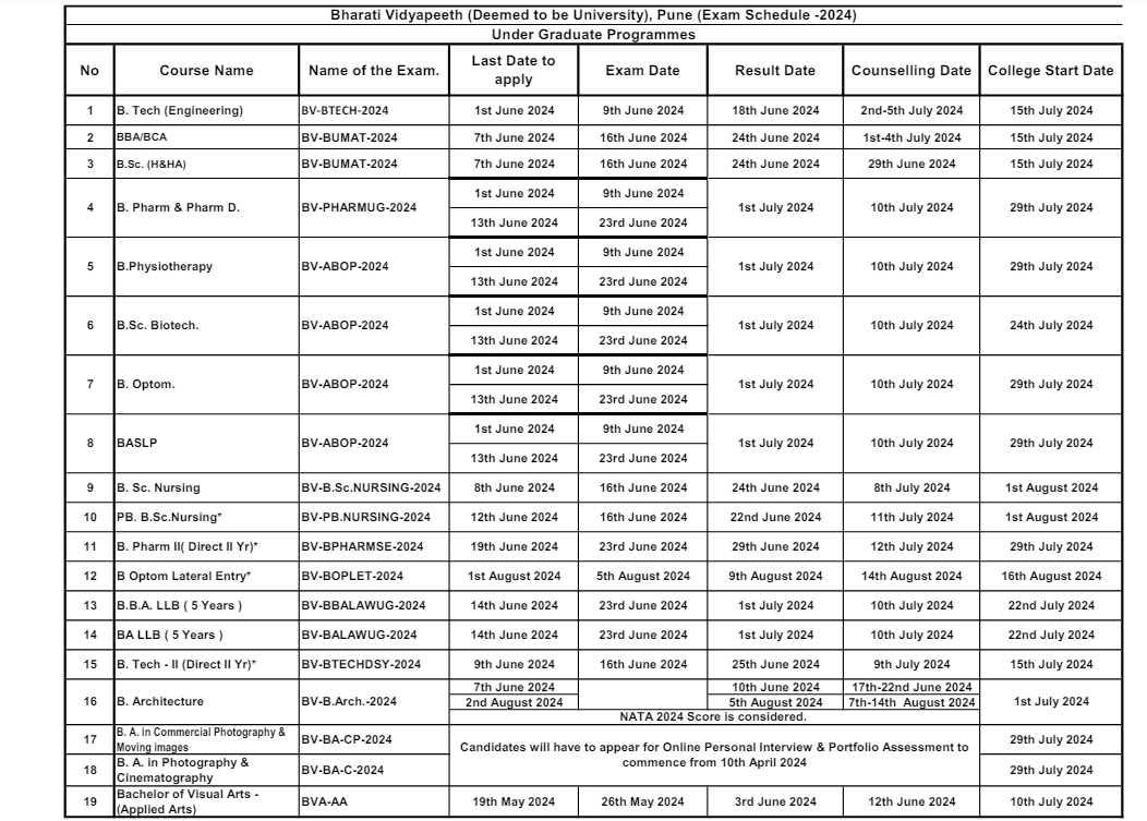
Bharati Vidyapeeth College of Engineering (Pune), also known as BVCOEP, is a constituent college of Bharati Vidyapeeth Deemed University (BVDU) Pune. The College offers courses through its main campus as well as DET off-campus, Navi Mumbai. In 2020, it was ranked 17 and 37 for Engineering by Times and India Today, respectively. Presently, the College offers 12 undergraduate, 8 postgraduate programmes and Doctoral Programmes in 8 disciplines. Every year, the College admits more than 900 students under its programmes.Candidates seeking admission to Bharati Vidyapeeth College of Engineering Pune can check out the most updated information related to the Bharati Vidyapeeth College of Engineering course admissions 2023 in the following highlights section:
Read More Call now for admission
B.Sc. in Nursing at College of Nursing, Pune is a 4 years course offered at the UG level. To get admitted to B.Sc. in Nursing course at College of Nursing, Pune, applicants must meet the entry requirements - 45.0% in 12th. The total tuition fee for College of Nursing, Pune B.Sc. in Nursing is INR 420000. The course offers admission to 65 students.
There has been an increasing demand for nurses across the world, thereby making nursing a lucrative and viable career option. College of Nursing - Pune of Bharati Vidyapeeth Deemed University is among the first private colleges to provide various academic offerings in Nursing, ranging from GNM to Ph.D.

Master of Business Administration (Human Resource) is a two-year professional postgraduate course that focuses on teaching the students about the fundamentals of modern management. Over the two years, the students will be able to learn and understand the aspects of business management and develop the required skills to implement their knowledge practically.
Programme Outcomes
Application of Knowledge –
Students will be able to successfully apply their knowledge of management science to solve problems in the corporate setting.
Build Reasoning and Analytical Skills –Through the course, the students will be able to build their reasoning and analytical skills to succeed in their management practice.
C
ommunication Skills – In the management field, communication is very important. The students will learn how to improve their written and oral communication skills.
Compensation Consulting

Compensation Consulting are always help for a companies marketing, customer growths.
Leadership Training
The Leadership Training are always help for a companies marketing, customer growths.
Corporated Programs
The Corporated Programs are always help for a companies marketing, customer growths.
Strategic Planning
Well begun is half done and we can only start well if we are well planned. Planning and strategies are very important and when it comes to education it should be a priority. With our expert advice, you can plan your future by choosing the right path.
Real-Time Updates
TCC Advisors keep you up to date with all real-time updates of your preferred college/ university entrance and admission form dates. We keep you updated with the counseling process of your selected options.
Counselling On Marks
Scoring is as important as knowing which college you will be allocated in the counseling round so you don’t miss out on your favorite college options. TCC Advisors help you out through your counseling round so you can get the best option on your scored marks.
We work with you to help realise your dream of studying in INDIA/Overseas for professional and personal growth. We combine experience and technology to help you make the most informed decision possible.

GET A CALL BACK

This site was created with the Nicepage